
La historia del termómetro es un fascinante viaje a través del tiempo, desde los primeros intentos de Galileo Galilei en 1597 con su termoscopio, hasta las innovaciones modernas. Galileo inventó un instrumento de medición de temperatura formato de un cilindro de vidrio sellado, lleno de un líquido, generalmente alcohol, en el que flotaban varias esferas de vidrio llenas de un líquido coloreado diferente. Cuando la temperatura ambiente cambiaba, el líquido del cilindro interior cambiaba su densidad. Cada esfera de vidrio tenía una pequeña placa metálica con una temperatura grabada. Cuando la temperatura subía el líquido se dilataba y se volvía menos denso, provocando que las esferas se hicieran más pesadas en relación al líquido y bajaran y si la temperatura baja el líquido se contrae, aumenta su densidad y las esferas flotan y subirán. En este termómetro la temperatura la dará la placa de la esfera más baja que esté flotando en el cilindro. Es decir, el termoscopio medía la temperatura basándose en el principio de Arquímedes; unos cuerpos sumergidos en un líquido.
Los primeros termómetros se diseñaron a partir de medición de la dilatación de los líquidos y los gases. El astrónomo danés Chr. Roemer (1644-1710) construyó un termómetro en el que utilizaba alcohol coloreado con azafrán. Colocó el tubo con graduado en divisiones; cuando el tubo estaba introducido en una mezcla de agua hielo y sal marcaba 0 divisiones; marcaba 7,5 divisiones y cuando estaba en la nieve y 60 cuando estaba en agua hirviendo. Realizó una división lineal y la temperatura del cuerpo humano era de unos 22,5º.
El físico e ingeniero polaco de origen alemán Daniel G. Fahrenheit en 1724 elaboró una escala colocando el termómetro en una mezcla de sal de amonio (NH4Cl), agua salada, hielo y encontró un punto sobre la escala al que llamó cero. A la temperatura del cuerpo humano (que obtuvo metiendo el termómetro en la boca) le asignó el valor 24 por similitud con las 24 horas del día, pero los grados resultaban demasiado grandes y los multiplicó por cuatro, obteniendo 96. Con esta escala midió los puntos de congelación y ebullición del agua, tanto a nivel del mar como a presión atmosférica estándar y estimó que eran 32º y 212 respectivamente y estableció en 180 divisiones.
El físico y naturalista francés René Antoine F. de Reaumur (1683- 1757) creó en 1730-1731 una escala de temperatura, hoy en desuso, utilizó termómetros de gran tamaño. Una bola de 10 cm de diámetro llena de alcohol y agua y comprobó que aumentaba su volumen aumentaba 80 milésimas cuando se calentaba desde el punto de fusión del hielo al punto de ebullición del agua. Consideró que 80 era un buen número y para hacer partes (0, 5, 10, 15, 20, 25, 30, 35, 40, 45, 50, 55, 60, 65, 70, 75, 80) y el punto de fusión del hielo era de 0º y 80º se asoció con la temperatura de ebullición del agua.
Anders Celsius (1701-1744) , físico y astrónomo conocido principalmente por proponer una escala centesimal de temperaturas que luego fue renombrada con su nombre. Años más tarde, en 1736, participó en una expedición a Laponia para medir un arco de meridiano terrestre, lo cual confirmó la teoría de Newton de que la Tierra se achataba en los polos. profesor de astronomía en la Universidad de Upsala desde 1730 hasta su muerte en 1744.
Celsius propuso la escala centígrada de temperaturas en un documento dirigido a la Academia de Ciencias Sueca. Decidió asignar el valor 100 para el punto de congelación del agua y 0º grados para el punto de ebullición. Así cuando la temperatura bajaba, hacía más calor y cuando subía, más frío, al contrario que como se conoce actualmente. Años más tarde, el naturalista C. Linneo (1707-1778) invirtió esa escala, que es como la conocemos.
La escala de Reaumur fue muy utilizada en las industrias de la Revolución Industrial debido a su sencilla división, que se adaptaba bien a la medición de temperaturas en las actividades de la vida corriente, comerciales y científicas

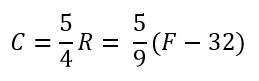
La relación entre las escalas termométricas
Para Fahrenheit: T de fusión del hielo 32º; T de ebullición agua 212º; número de partes 100
Para Reaumur : T de fusión del hielo 0º;T de ebullición agua 80º; número de partes 80
Para Celsius : T de fusión del hielo 0º; T de ebullición agua 100º; número de partes 100
De modo que 5ºC = 4º Reaumur¨= 9º F

