PROBLEMAS DE ARITMÉTICA. MOVIMIENTO

Problema 1.-  Un móvil parte de A con destino a B a una velocidad de v m/s y otro sale, al mismo tiempo, de B hacia A con velocidad u m/s. Cuando de cruzan, sin pérdida de tiempo, vuelven a su punto de partida con una diferencia de diez segundos. ¿A qué distancia de A se habrán cruzado?

Solución: Se cruzarán a una distancia x de A y, por tanto, a una distancia D-x de B

x/v – (D-x)/v = 5      ⇒   u·x- v(D-x)= 5 uv    ⇒

⇒    x( u+v)  =  5uv + vD     x =   (5uv + vD) /( u+v)

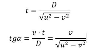
Problema 2.- Una persona dispara una escopeta que lanza bolas a una velocidad u m/s contra una bola que pasa con en línea recta por una guía una velocidad de v m/s. Si la persona está a una distancia de D m de la guía Y dispara cuando la bola pasa frente a él ¿con que ángulo debe lanzar del disparo?

Solución: D2 + (v·t)2 = (u·t)2   ⇒  t2 = D2 /(u2 – v2)

 

Problema 3.- Sabemos que dos ciudades A y B distan 315 Km entre sí. Un coche sale de A hacia B a una velocidad de 105 Km/h a las 10 de la mañana. A la misma hora sale de B hacia A un camión. Suponiendo que ambos circulan a velocidad constante y sabiendo que se cruzan a las doce menos cuarto, ¿sabrías decir a qué velocidad circulaba el camión?

Solución: Se encuentran pasadas 1,75 horas. El coche que sale de A estará a 183,75 km de A.  y el que sale de B estará a 131,25 de B y también le habrá tardado en llegar a B, 1,75horas, luego su velocidad será  131,25/1,75 = 75 km/h

Problema 4. Un automóvil pasa por un puesto de vigilancia a 90 km por hora. A los cinco minutos de haber pasado el auto sale en su persecución una motocicleta a 120 km por hora. ¿Cuánto tiempo tardará la moto en alcanzar al auto?

Solución: El coche habrá recorrido en los 5 minutos 7,5 km. Por otra parte, la moto perseguidora en cada hora le saca 30 km de ventaja . Por tanto: la moto recupera los 7,5 km de ventaja del automóvil en 15 minutos.

Problema 5. Para ir a su trabajo un empleado recorre los 3/4 de la distancia total en autobús, con una velocidad media de 20 km por hora, y el resto a pie, con una velocidad media de 5 km por hora. Sabiendo que emplea 21 minutos para llegar a su trabajo. ¿Qué distancia total recorre?

Solución: Sea x la distancia total que recorre (en km). Entonces 3x/4 serán los km  que hace  en autobús y x/4 los que recorre andando.

Por tanto: 3x/80 será el tiempo que va en autobús y  x/20 el que va andando: (tengamos en cuenta que 21 minutos son 21/60 horas, por tanto escribimos la ecuación

3x/80 + x/20 = 21/60    ⇒     3x/8 + x/2 = 21/6     ⇒

⇒    9x + 12x = 84       ⇒    21x = 84      ⇒     x= 4 km

La persona recorre 4 km hasta su trabajo.

Problema 6.- Una persona sale de paseo. Parte en un vehículo, a 15 km/h. ¿A qué distancia del punto de partida tiene que apearse para que, regresando a casa a pie, con velocidad de 6 km/h llegue a las cuatro horas de la salida?

Solución: En la ida empleará t horas en autobús, en la vuelta (4 – t) horas  a pie  ⇒

15·t = 6 (4 – t)   ⇒     21t =  24      ⇒  t =  8/7, por tanto  en la ida hará:

x=15 t = 15·(8/7) = 120/7 =17,14 km

Se alejará del punto de partida 17,14 km en autobús.

Add a Comment

Tu dirección de correo electrónico no será publicada. Los campos obligatorios están marcados con *